1. INTRODUÇÃO
A produção de 30 desmamados/porca/ano que há poucos anos parecia improvável hoje é uma realidade em algumas unidades produtoras de suínos. O sucesso de desmamar tantos leitões por ano implica, quase invariavelmente, em grandes e constantes desafios em todo sistema de produção, seja relacionado ao manejo, sanidade ou nutrição. Plantéis que convivem com essa nova realidade, se por um lado, tendem a ser mais rentáveis e competitivos, por outro, exigem permanente controle no gerenciamento de todas as etapas do sistema produtivo.
A rentabilidade de um sistema de produção está diretamente ligada à eficiência reprodutiva, sendo que na suinocultura ela é medida através do número de leitões desmamados por porca por ano. As fêmeas modernas possuem como principais características um elevado número de leitões nascidos, alta produção de leite, exigências nutricionais elevada, baixo consumo voluntário, capacidade de deposição rápida de altas quantidades de tecido magro, menores reservas de gordura. Com a seleção genética buscando maior crescimento de tecido magro, o potencial das matrizes foi influenciado e houve diminuição do consumo voluntário de alimento e do teor de gordura (Aherne and Williams, 1992; Close and Cole, 2000). De acordo com Foxcroft (2005), as linhagens maternas contemporâneas possuem maior potencial para crescimento de tecido magro e isto, certamente, está associado com alterações no metabolismo em geral, sendo necessário reavaliar as exigências nutricionais e as técnicas de manejo nutricional, para otimizar o aproveitamento de nutrientes por parte dessas fêmeas modernas. Tem sido relatado que uns dos aspectos que mais restringe a produtividade das fêmeas suínas moderna é o manejo nutricional inadequado prescindido a elas. Dessa forma, se torna cada vez mais importante a compreensão de suas exigências nutricionais de forma a maximizar o desempenho reprodutivo das fêmeas modernas.
Obviamente que matrizes hiperprolíferas apresentam exigências nutricionais mais elevadas e por isso necessitam de um programa nutricional diferenciado, seja durante sua preparação, gestação ou lactação. Portanto, quando a nutrição for insuficiente para suprir as necessidades nutricionais desses animais, a sua reprodução poderá ser seriamente comprometida.
Este trabalho tem o objetivo de discutir as estratégias nutricionais das fêmeas suínas modernas para se conseguir desmamar 30 leitões/porca/ano. Na primeira parte, será dada ênfase às estratégias nutricionais para se aumentar a prolificidade das fêmeas, enquanto, na segunda, serão abordadas considerações sobre as exigências desses animais.
PARTE I - ESTRATÉGIAS NUTRICIONAIS PARA PREPARAR FÊMEAS MODERNAS PARA PRODUZIR 30 DESMAMADOS/PORCA/ANO
2. NUTRIÇÃO DAS LEITOAS DE REPOSIÇÃO
A seleção inicial para uma taxa elevada de crescimento resulta em uma população não apenas mais jovem à puberdade, mas também mais leve e, portanto, com peso mais baixo à maturidade sexual (Almeida, 1999). Desse modo, na maioria das marrãs, a idade na qual estão aptas geneticamente para o início do ciclo reprodutivo será atingida bem após terem alcançado uma taxa de crescimento mínima ou o peso corporal necessário para o início da puberdade (Foxcroft et al., 1996). É bem possível que animais com genótipos extremamente magros e taxas de crescimento muito elevadas e pouco apetite devido à seleção para menor deposição de gordura não consigam atingir uma boa relação gordura:músculo para desencadear a maturidade sexual, resultando no aumento da idade à puberdade (Foxcroft et al., 1996). O limiar de taxas de crescimento precisa assegurar que o crescimento per se não limite o início da maturidade sexual da marrã (Foxcroft et al., 2005).
A correta nutrição de marrãs durante o seu crescimento tem impacto significativo no desenvolvimento reprodutivo das fêmeas. Se for respeitada a utilização de níveis nutricionais e padrões de consumo que permitam a ingestão de nutrientes em quantidade suficiente para permitir taxas de ganho de peso comercialmente aceitáveis, bem como taxas de deposição protéica compatíveis com as linhagens modernas, dificilmente ocorrerão influências nutricionais relevantes sobre a idade à puberdade (Almeida, 1999). Dessa forma, taxa de crescimento e composição corporal não seriam limitantes à maturidade sexual (Foxcroft, 1993).
2.1. Nutrição das leitoas nas fases iniciais de crescimento
O manejo nutricional desses animais deve começar nos estágios iniciais de sua vida. Na verdade, existem evidências que a nutrição de leitoas no período uterino pode ter impacto na sua produtividade subseqüente. Tem sido documentado, por exemplo, que a nutrição pode afetar o desenvolvimento de fibras musculares dos fetos o que poderia ter impacto na vida reprodutiva posterior. Desse modo, é importante estabelecer um adequado programa de nutrição para evitar mudanças significativas na composição corporal das matrizes em gestação.
Do nascimento até 3 semanas de idade, a leitegada recebe em quantidade satisfatória os nutrientes necessários através do colostro e do leite da porca. Pesquisas mais recentes indicam que o colostro, além de imunoglobulinas, é rico em importantes fatores nutricionais de crescimento. Leitões mais pesados à desmama têm melhor apetite durante a fase de creche e crescem mais rapidamente do que leitões pequenos e mais leves. Por isso, ao selecionar as marrãs de reposição, é preciso que os animais tenham nascido de leitegadas mais pesadas, apresentem boas condições físicas, e, no mínimo, 6 pares de tetas funcionais. Além disso, há evidências sugerindo que leitoas selecionadas de leitegadas pequenas (dez ou menos) atingem a puberdade mais precocemente e por isso apresentam melhor desempenho reprodutivo subseqüente. (Dritz, 2006).
Para a fase de creche, há limitada informação sobre o efeito da nutrição sobre o desenvolvimento e longevidade das leitoas. Uma boa estratégia de alimentação aliada a um ambiente controlado assegura a boa qualidade das leitoas ao final do período de creche. Do mesmo modo, após a saída de creche, para os grupos dos quais serão selecionadas as marrãs de reposição, é necessário algum esforço quanto aos cuidados e ao manejo. Para otimizar a alimentação de marrãs, aos produtores é recomendado algumas atitudes simples como utilizar de comedouros e bebedouros compatíveis com cada fase (crescimento ou terminação) e evitar alimentar as marrãs no chão devido ao desperdício de ração e ao aproveitamento insuficiente da dieta.
O programa nutricional da fase inicial até a puberdade tem como objetivo proporcionar às fêmeas uma adequada produção de massa corporal (proteína) e deposição de gordura limitada e não o máximo ganho de peso que é alvo dos programas de nutrição para animais em crescimento e terminação destinados à produção de carne. Desse modo, é importante considerar as marrãs como animais diferenciados dentro do plantel. Na tabela 1, são apresentadas as especificações nutricionais para o desenvolvimento de marrãs segundo PIC (2003).
Além disso, Dritz (2006) recomenda, para as dietas de desenvolvimento de leitoas, que os níveis de cálcio e fósforo devam ser 0,10% mais altos daqueles recomendados para os animais destinados ao abate para aumentar a densidade óssea e longevidade dos animais. Já os níveis de suplementação de vitaminas e minerais devem ser semelhantes aos utilizados nas dietas de suínos na fase crescimento.
As variações observadas na literatura para as especificações nutricionais para o desenvolvimento de marrãs ocorrem por diversos fatores, sendo provavelmente a genética o mais importante. Assim, esse deve ser um dos principais alvos a serem atingidos e será um ponto decisivo para o sucesso reprodutivo do plantel. As tabelas e dados dos manuais da genética devem, portanto, ser utilizadas como referência.
2.2. Nutrição das leitoas da seleção final à cobertura
Para situações em que a seleção de leitoas de reposição é feita com animais no final da terminação o programa de alimentação e manejo das leitoas, preferencialmente, deve ser baseado na idade e na espessura de toucinho à época da seleção. Após a seleção de marrãs, a taxa de crescimento esperada para esses animais é de 650 g/dia distribuídos em 450 g/dia de carne e ossos e 200 g de gordura. Com essa taxa de crescimento, as marrãs ganham 0.9 mm em espessura de toucinho (ET) por semana. Assume-se que a deposição de 1.5 Kg de gordura corresponde ao ganho de 1 mm em ET. Assim sendo, marrãs selecionadas com 11 a 12 mm ET precisariam de cerca de 5 a 6 semanas para atingirem o alvo de 16 a 17 mm ao primeiro serviço.
Por outro lado, leitoas selecionadas mais leves, com maior espessura de toucinho e que permanecerão por um período prolongado de reposição, antes da cobrição, devem receber uma dieta restrita ou com menor densidade energética e que proporcionem um crescimento mais lento.
Entre as dificuldades em adequar o programa nutricional das marrãs destacam-se: a falta de informações sobre as exigências nutricionais de algumas genéticas; a utilização de diferentes genéticas dentro do mesmo sistema de produção; a ausência de um manejo alimentar bem preparado e executado até a primeira cobertura; e a falta de treinamento da mão-de-obra nesta importante fase da produção. É importante salientar que algumas práticas de manejo afetam o consumo de ração, como, por exemplo, a movimentação de animais, a mistura de ninhadas diferentes e o estresse social, prejudicando a execução.de um bom programa nutricional.
2.3. Nutrição das leitoas no período de pré-cobrição (Flushing)
A nutrição específica de marrãs no período que antecede sua primeira cobertura ou inseminação já é prática consolidada em boa parte da indústria suinícola, uma vez que alguns autores já demonstraram que altos níveis de energia nesta fase estão relacionados com a melhoria no desempenho reprodutivo (Beltranena et al., 1991; Rhodes, 1991; Murgas, 1994; Ashworth, 1999; Ferguson et al., 2003; Brustolini et al., 2004). Esta prática é conhecida e mundialmente descrita pela expressão "flushing nutricional". Todavia, a compreensão sobre os efeitos de diferentes fontes de energia dietética nesta fase ainda carece de consolidação científica. Considerando o papel relevante que a insulina pode desempenhar nas interações entre a nutrição e a reprodução de marrãs, pode-se especular que dietas que efetivamente promovam o aumento nos níveis de insulina plasmática venham a representar uma importante ferramenta para a melhoria da eficiência reprodutiva dos rebanhos.
Tendo em vista que os efeitos nutricionais sobre a taxa ovulatória parecem ser dependentes da ação da insulina (Cox et al., 1987; Britt et al., 1988; Matamoros et al., 1991), a manipulação da resposta insulínica através da dieta pode representar um mecanismo de potencialização do desempenho reprodutivo em suínos (van den Brand, 2001). Diversos outros autores também sugeriram ou evidenciaram que a insulina pode intermediar os efeitos interativos entre a nutrição e a reprodução de suínos.
2.4. Nova abordagem para o flushing com o objetivo de aumentar número de nascidos
Face aos conhecimentos anteriormente expostos e às hipóteses levantadas, Machado (2005) realizou um trabalho pela Escola de Veterinária da Universidade Federal de Minas Gerais, com o objetivo de avaliar o desempenho reprodutivo de marrãs cíclicas quando da utilização de rações isoenergéticas baseadas em duas diferentes fontes de energia dietética. O princípio básico para a definição dos tratamentos experimentais foi fundamentado na hipótese que uma das fontes energéticas (carboidratos) promoveria uma maior resposta insulínica aguda quando comparada à outra fonte testada (lípides). Até a conclusão do referido trabalho, a hipótese só havia sido experimentalmente testada em porcas lactantes (Kemp, 1995; van den Brand, 2001), as quais constituem um modelo experimental catabólico e, portanto, em balanço energético negativo. As marrãs pré-cobertura, ao contrário das porcas, representam um modelo experimental essencialmente anabólico. Essa diferença marcante entre marrãs e porcas lactantes justifica a possibilidade da ocorrência de respostas metabólicas distintas quando tais categorias são submetidas às manipulações dietéticas propostas. Os trabalhos foram realizados nas instalações da Granja Recanto, localizada no município de Patos de Minas.
Experimento 1 - Efeitos de diferentes fontes de energia sobre a eficiência reprodutiva de marrãs cíclicas - I: efeitos sobre taxa ovulatória, fertilidade, sobrevivência embrionária, morfometrias embrionária e uterina, dinâmica ovariana e características do estro
Neste trabalho foram abordados os aspectos referentes aos efeitos das diferentes fontes de energia sobre parâmetros de desempenho reprodutivo, sobre a morfometria embrionária, uterina e placentária, bem como às características do estro e da dinâmica folicular.
Após a primeira triagem e seleção, um grupo de 64 marrãs híbridas comerciais de uma mesma linhagem (cruzamento Landrace x Large-White), oriundas de um lote de seleção contemporâneo, cujas idades variavam entre 130 e 139 dias, com peso médio de 79,3 Kg, foi transferido das instalações de recria do sítio 2 e alojadas nas instalações de reposição de plantel do sítio 1. Uma vez transferidas, foram alojadas em oito baias coletivas idênticas, cada qual contendo um grupo de oito marrãs pré-púberes. As baias possuíam dois bebedouros do tipo "chupeta", com altura regulável para permitir maior conforto e facilidade no consumo de água. Os cochos possuíam divisórias individuais e acabamento em cerâmica, facilitando a coleta de sobras para estimar o consumo médio diário de cada baia. Durante o período pré-experimental, as marrãs foram submetidas a um plano nutricional comum a todos os animais e representativo dos níveis nutricionais usualmente adotados para esta categoria animal. O plano nutricional em questão consistiu no fornecimento ad libitum de uma dieta específica para leitoas em fase de crescimento. A transferência para gaiolas individuais, portanto, foi efetivada quando a idade média do grupo de animais era de 181 dias, ainda na fase pré-experimental. Para evitar excesso de transferências futuras entre gaiolas e subseqüente desencadeamento de novo estresse comportamental, as marrãs já foram alojadas nas gaiolas definitivas, formando os blocos originalmente previstos para leitoas irmãs, lado a lado. Quanto ao fornecimento da ração, instalou-se um cocho individual específico, em estrutura metálica, preso na parte lateral dianteira de cada gaiola, o que permitiu a individualização do consumo e evitou riscos de contato e conseqüente "contaminação" das rações experimentais entre si. Os animais submeteram-se a um período de adaptação prévio à introdução das rações experimentais (30 a 45 dias em relação à data prevista para o início dos tratamentos), evitando reações comportamentais que viessem a provocar quedas drásticas de consumo diário.
Durante a fase experimental propriamente dita, todas as marrãs foram submetidas à avaliação quinzenal de peso, espessura de toucinho e profundidade de lombo, além da determinação diária do consumo individual.
No oitavo dia subseqüente ao dia do segundo estro, de cada leitoa, iniciaram-se as dietas experimentais, que compunham os dois tratamentos:
- Tratamento 1 (Grupo Flushing-Carboidratos): marrãs alimentadas à vontade, entre o dia 8 do terceiro ciclo estral e o cio subseqüente, com dieta cuja fonte adicional de energia é predominantemente constituída por carboidratos (20% amido de milho).
- Tratamento 2 (Grupo Flushing-Lípides): marrãs alimentadas à vontade, entre o dia 8 do terceiro ciclo estral e o cio subseqüente, com dieta cuja fonte adicional de energia é predominantemente lipídica (óleo refinado de soja, em quantidade exata para substituir a energia fornecida pela fonte de amido incluída no Tratamento 1, completando-se a diferença quantitativa com ingrediente inerte).
As dietas eram isocalóricas, isoproteícas e isolisínicas, sendo também constituídas pelas mesmas matérias-primas básicas (milho, farelo de soja e farelo de trigo) e foram formuladas segundo Rostagno et al. (2000). O consumo ad libitum foi monitorado de forma a avaliar se a ingestão diária de energia metabolizável seria tanto similar quanto possível, para ambos os tratamentos.
Não houve efeito dos tratamentos sobre a taxa de concepção (ou taxa de prenhez) após a inseminação artificial (tabela 3). Considerando que, em espécies multíparas, o desafio metabólico mais significativo está na quantidade e qualidade dos embriões concebidos, e não na simples prenhez ou concepção em si, a situação fortemente anabólica das marrãs deste experimento não justificaria diferenças nas taxas de concepção. A diferença numérica encontrada entre os tratamentos, quanto à taxa de prenhez (92,00% x 84,62%; não significativo, p>0,05), foi considerada como casualidade experimental. Quanto aos diversos parâmetros indicativos do desempenho reprodutivo, os resultados verificados ilustram uma significativa relação entre o tratamento dietético aplicado e as diversas respostas reprodutivas mensuradas. Em particular, a atividade ovariana parece ter sido fortemente influenciada pelos tratamentos, sendo que o tratamento 1 (flushing com amido) demonstrou, de forma geral, resultados significativamente superiores sobre o desempenho reprodutivo das fêmeas, quando comparado com o tratamento 2 (flushing com óleo). A dieta flushing baseada em amido de milho aumentou a taxa ovulatória (p=0,0052), o peso total dos ovários (p=0,069), o número total de embriões viáveis (p=0,007), o comprimento médio dos embriões (p=0,069), o peso médio dos embriões (p=0,002), a área média placentária (p=0,07) e o peso médio das placentas (p=0,012). Neste trabalho a fonte de energia utilizada na ração flushing não influenciou a mortalidade precoce dos embriões. Entretanto, não foi encontrado efeito da leitegada de origem ("litter effect") sobre a taxa de ovulação e sobre algumas características placentárias.
Tabla 03. Peso total do útero gravídico (PTUG), número total de corpos lúteos (NTCL), peso total dos dois ovários (PTO), número total de embriões (NTE), comprimento médio dos embriões (CME), peso médio dos embriões (PME), área média da placenta por embrião (AMP), peso médio da placenta por embrião (PMP), em marrãs cíclicas submetidas aos tratamentos com amido de milho (T1) e com óleo vegetal (T2), com seus respectivos coeficientes de variação (CV)

Experimento 2 - Efeitos de diferentes fontes de energia sobre a eficiência reprodutiva de marrãs cíclicas - II: efeitos sobre a glicemia e as concentrações séricas de insulina e progesterona
O presente trabalho enfoca os efeitos da onte de energia dietética tanto sobre a curva glicêmica e a secreção insulínica, mas também os possíveis efeitos sobre a produção de progesterona na fase pós-ovulatória.
De um total de 54 marrãs selecionadas ao final da fase pré-experimental e alocadas para os dois tratamentos, 21 unidades experimentais foram aleatoriamente escolhidas para que fossem submetidas ao procedimento de cateterização, de tal forma que estivessem igualmente distribuídas entre os tratamentos dietéticos a serem aplicados no experimento. O procedimento foi realizado sempre entre o quarto e o sexto dias do terceiro ciclo estral (ciclo anterior ao da inseminação artificial), para cada uma das marrãs utilizadas, de tal forma que a recuperação física e comportamental necessária estivesse completa quando do início dos tratamentos nutricionais a serem avaliados. Além das rotinas diárias já descritas, as marrãs
cateterizadas eram submetidas a um protocolo contínuo de coletas de sangue, durante todo o período experimental. O protocolo de coletas de sangue foi definido de acordo com as características e parâmetros de secreção conhecidos para cada metabólito ou hormônio a ser avaliado. O horário das coletas de sangue foi exatamente o mesmo horário definido para as avaliações ultra-sonográficas da dinâmica ovariana. Para efeito de análise dos dados, considerou-se que as coletas foram feitas com zero, seis, doze e dezoito horas após a ovulação, lembrando que, neste caso, a hora-zero não significa o momento exato da ovulação, mas sim o primeiro horário de coleta realizado após a constatação da ovulação.
Os dados contidos na tabela 4 expressam a curva de glicose no décimo quarto e vigésimo primeiro dia do ciclo estral, sete e quatorze dias após o início dos tratamentos com as dietas experimentais.
Tabela 04. Concentração sangüínea de glicose, expressa em mg/dL, no décimo quarto e vigésimo primeiro dia do ciclo de marrãs submetidas aos tratamentos com amido de milho (T1) e com óleo vegetal (T2)

Verificou-se que não houve efeito dos tratamentos sobre a glicose sangüínea, cabendo ressaltar que as marrãs já estavam há sete dias sob influência metabólica da alimentação ad libitum de alta energia (flushing), utilizada neste experimento. Da mesma forma como observado para o dia 14, não houve efeito de tratamento sobre os níveis de glicose sangüínea, embora seja verificada uma diferença numérica relativamente expressiva, mas não significativa (p=0,15) na coleta pós-prandial realizada aos 30 minutos após o fornecimento do alimento. Tanto no dia 14 quanto no dia 21 do ciclo estral, as concentrações máximas de glicose sangüíneas foram detectadas na coleta realizada aos 30 minutos após a ingestão do alimento matinal. Os resultados obtidos no presente experimento sugerem ser a glicose um fraco preditor das interações entre estado metabólico e reprodução, devido a sua estreita regulação hormonal e relativa estabilidade, mesmo frente a distúrbios metabólicos significativos. Entretanto, a presença de uma diferença numérica expressiva (embora não estatisticamente significativa, p=0,15) permite-nos especular sobre a possibilidade de resposta glicêmica potencialmente distinta entre os tratamentos, principalmente em função da ascensão da curva observada para o tratamento 1 (amido).
A hipótese principal testada neste experimento envolveu também a determinação dos níveis de insulina sérica, avaliando o padrão de secreção e os efeitos dos tratamentos sobre a resposta insulínica em marrãs anabólicas. A tabela 5 contém os dados relativos à concentração sérica de insulina no dia 14 do ciclo estral, sete dias após o início dos tratamentos.
Tabela 05. Concentração sérica de insulina, expressa em μUI/mL, em função do tempo de coleta, no décimo quarto e no vigésimo primeiro dia do ciclo de marrãs submetidas aos tratamentos com amido de milho (T1) e com óleo vegetal (T2)

Ao contrário do que se observou para a glicose, já se verifica, ao décimo quarto dia do ciclo, um efeito significativo (p<0,03) dos tratamentos sobre a concentração sérica de insulina, mesmo com uma quantidade reduzida de amostras para o tratamento 1 (n=6) e um coeficiente de variação de 32,36%. As diferenças significativas ente os tratamentos concentram-se nas duas primeiras coletas pós-prandiais, exatamente aquelas que compõem o pico da resposta insulínica. Em função dos picos pós-prandiais serem significativamente maiores (p<0,05) nas marrãs que recebem o flushing com amido, a média geral de concentração de insulina nesses animais também é significativamente maior (p=0,03) do que nas marrãs alimentadas com a dieta lipídica. Após 14 dias de tratamento com as dietas isoenergéticas, o efeito das fontes de energia sobre as concentrações médias de insulina e sobre seu pico pós-prandial permanece significativos (p=0,067), se considerarmos a probabilidade do erro tipo 1 em um limite de 7%.
A insulina parece estar fortemente envolvida nas respostas observadas, seja por ação direta central e/ou gonadal, ou mesmo indireta, através de fatores de crescimento locais intra-foliculares. As diferenças significativas quanto à concentração sérica de insulina entre os tratamentos concentraram-se nas duas primeiras coletas pós-prandiais, exatamente aquelas que compõem o pico da resposta insulínica. Em função dos picos pós-prandiais serem significativamente maiores (p<0,05) nas marrãs que recebem o flushing com amido, a média geral de concentração de insulina nesses animais também é significativamente maior (p=0,03) do que nas marrãs alimentadas com a dieta lipídica. Cabe salientar o efeito muito expressivo do tratamento sobre o peso médio dos embriões aos 28,6 dias de gestação (1,994g vs 1,682 g, p<0,003). Por não se tratar de um resultado usual, é provável a presença de receptores insulínicos tanto nas células embrionárias quanto em tecidos placentários adjacentes. O crescimento fetal só ocorre em níveis normais se a insulina estiver presente, caracterizando, portanto, um papel limitante na embriogênese. O desenvolvimento morfológico e a proliferação celular serão retardados na fase pré-implantação, caso exista deficiência insulínica. A insulina provavelmente age no tecido embrionário sobre receptores específicos ou através do IGF-1, induzindo aumento na taxa de mitose e na diferenciação morfológica dos blastocistos. Supõe-se que uma exposição acentuada dos embriões à insulina materna, como pode ter ocorrido no tratamento à base de amido, seria potencialmente indutora de crescimento somático embrionário mais acentuado. Entretanto, essa hipótese precisaria ser adequadamente testada, em um modelo experimental específico.
Um protocolo de coletas para determinação da progesterona sérica foi implantado com o objetivo de avaliar a resposta imediata de progesterona pós-ovulatória e associá-la com possíveis efeitos dos tratamentos sobre a sobrevivência embrionária observada. Conforme pode ser visualizado na tabela 6, não houve efeito dos tratamentos sobre a concentração sérica de progesterona, avaliada até 18 horas após a ovulação estimada
Tabela 06. Concentração sérica de progesterona, expressa em ng/mL, avaliada às 0h, 6h, 12h e 18h após a ovulação, em marrãs cíclicas submetidas aos tratamentos com amido de milho (T1) e com óleo vegetal (T2)
Nas condições em que foram realizados estes experimentos, foi possível concluir que:
1) É possível alterar o padrão da curva de secreção de insulina, bem como as médias de sua concentração sérica em marrãs, através da substituição de uma fonte energética lipídica (óleo de soja) por uma fonte baseada em carboidratos (amido de milho). Esta modificação do metabolismo energético e da regulação hormonal pode ser conseguida mesmo em animais que estejam em condições anabólicas e sem restrição alimentar, como o modelo experimental testado neste trabalho;
2) A utilização de carboidratos como fonte predominante de energia metabolizável na dieta flushing pode representar uma eficiente ferramenta prática para a manipulação do metabolismo energético da fêmea suína, induzindo efeitos anabólicos sobre o sistema reprodutivo e otimizando a eficiência reprodutiva da espécie.
PARTE II - ESTRATÉGIAS NUTRICIONAIS PARA ALIMENTAR REPRODUTORAS SUÍNAS QUE DESMAMAM 30 LEITÕES/ANO
3. NUTRIÇÃO DE PORCAS GESTANTES
Segundo Abreu et al. (2005), um programa nutricional para porcas gestantes deve levar em consideração os seguintes aspectos: a) as diferentes fases e fenômenos metabólicos que acontecem na gestação; b) as diferenças de padrão de crescimento entre as porcas, segundo a ordem de parto; c) o estado metabólico da matriz após a lactação anterior. Todos esses aspectos podem interferir nas exigências nutricionais desses animais e devem ser consideradas para o desenvolvimento de um programa nutricional. Matrizes hiperprolíferas apresentam exigências nutricionais diferenciadas principalmente no terço final de gestação onde ocorre o maior desenvolvimento das glândulas mamárias e dos fetos.
A nutrição durante a gestação além de influenciar o desenrolar da gestação, o tamanho, o peso e a uniformidade da leitegada, afeta também a produtividade no período da lactação, o intervalo desmama-cio e a longevidade da porca. No primeiro terço da gestação, as necessidades nutricionais são ligeiramente superiores às necessidades de mantença. Porém, o fornecimento excessivo de energia nessa fase resulta em maior mortalidade embrionária visto que o fluxo sanguíneo hepático aumenta e, com isso, a taxa de metabolização da progesterona
também aumenta. A progesterona em menor concentração no plasma sangüíneo influencia a baixa secreção de Proteína Uterina Específica, reduzindo a taxa de sobrevivência embrionária (Sobestiansky et al., 1998). Por outro lado, Abreu et al. (2005), comentam que a condição corporal ou status energético da porca influencia a respostas desses animais a altos níveis de consumo alimentar, sendo que a mortalidade embrionária somente é aumentada em animais com boas condições corporais.
No segundo terço da gestação o principal objetivo de um programa nutricional é garantir o desenvolvimento corporal das fêmeas em crescimento e a recuperação das condições corporais das matrizes, devido a mobilização na lactação anterior. Nesse período o acompanhamento permanente da condição corporal dos animais é de extrema importância.
Como comentado anteriormente o terço final de gestação é o período em que há o maior desenvolvimento fetal e das glândulas mamárias. Obviamente matrizes que crescem mais e que produzem mais leitões apresentam um aumento nas exigências nutricionais de proteína, energia e minerais.
3.1. Exigência de energia para porcas gestantes
Segundo Noblet et al. (1990), as exigências nutricionais de uma porca gestante correspondem ao somatório das exigências para mantença, crescimento uterino e ganho materno. Equações são usadas para determinar a exigência de energia para mantença, ganho de peso materno e ganho fetal. Resultados dessas equações, que foram convertidas em exigência diária, estão representados na tabela 7.
Tabela 07. Exigência de energia diária para matrizes com 200 kg e peso da leitegada ao nascimento de 18 kg.

Pode-se observar que a exigência de energia para mantença varia de 70 a 90% da exigência total em função do ganho maternal. Fêmeas de primeira e segunda gestação apresentam maior ganho maternal e consequentemente maior exigência de energia para essa finalidade. A exigência para crescimento uterino representa cerca de 5% da exigência enérgética total, mas a exigência diária aumenta durante a gestação. A exigência de energia metabolizável (EM) para ganho uterino e de tecido mamário é cerca de 1,000 Kcal durante a última semana de gestação (Noblet et al., 1985a.). Este grande aumento da exigência energética no final da gestação favorece um consumo maior de energia durante este período para evitar a mobilização de reservas corporais e para aumentar a deposição de proteína materna (Etienne; Noblet; Dourmad, dados não publicados). Em conclusão, um único valor não pode ser recomendado como exigência de energia para porcas em gestação. É mais pertinente considerar que a exigência de EM durante a gestação difere com o peso corporal (PC) (i.e., numero de parto, genótipo, etc) dos animais, ambiente (temperatura, atividade), perda de peso na lactação anterior e o ganho de peso líquido materno desejado.
A exigência diária para porcas em gestação varia de 6 a mais de 10 Mcal (Noblet et al., 1990) e segundo o NRC (1998), a exigência diária de energia para os produtos de concepção é 35,8 kcal de EM para cada feto. Isso significa que para cada feto a mais produzido será necessário um acréscimo de aproximadamente 100 gramas de uma ração de gestação com 3000 Kcal de EM /kg. Entretanto, na granja é impossível prever quantos fetos possui um animal no final de gestação sendo difícil adotar arraçoamentos específicos (individualizados). Uma alternativa para multíparas é adotar um arraçoamento diferenciado (+200 g/dia) para matrizes que apresentam um histórico de produtividade elevado, por exemplo, acima de 13 nascidos vivos/parto. Apesar de ser empírico, a adoção desse sistema em granjas comerciais tem funcionado razoavelmente bem.
3.2. Exigência de proteína e lisina para porcas gestantes
Segundo Kim e Wu (2005) fêmeas em gestação necessitam de proteína para mantença, crescimento e crescimento dos conceptos (fetos e membranas associadas). Desse modo, os aminoácidos da dieta devem estar balanceados para garantir as necessidades dos fetos, das glândulas mamárias, mantença e crescimento maternal. Segundo Close (2001) matrizes modernas em crescimento exigem 14 a 15 g/dia de lisina enquanto matrizes pluríparas exigem de 10 a 11g/dia.
As diferenças de exigências de aminoácidos e energia entre pluríparas e fêmeas em crescimento deixam claro que os programas de nutrição desses animais devem ser distintos. Por outro lado, Kim e Wu (2205) propõem níveis e balanço de aminoácidos diferenciados para fêmeas de 0 a 70 e de 70 a 112 dias de gestação. Desse modo, sugere-se que uma dieta diferenciada (ex. pré-lactação) seja utilizada no terço final de gestação.
3.2.1. Efeitos da suplementação da arginina durante gestação
A Arginina (Arg) desempenha múltiplos papéis no metabolismo animal servindo de substrato para a síntese de proteína, como intermediária no ciclo da uréia e como precursora na síntese de vários compostos metabólicos importantes, incluindo o óxido nítrico (ON) e poliaminas (Wu & Morris, 1998). O óxido nítrico é o maior vasodilatador das células endoteliais (Wu & Meininger, 2000), e desempenha um papel importante na regulação do fluxo sanguíneo placentário e, portanto, na transferência de nutrientes e oxigênio da mãe para o feto (Bird et al., 2003). A Arg é também um potente secretor de hormônios (Newsholme et al., 2005). Evidências crescentes mostram que o ON e as poliaminas são chaves regulatórias da angiogênese e embriogêneses, como também do crescimento placentário e fetal (Reynlds & Redmer, 2001 e Wu et al., 2004a).
Perdas embrionárias e fatais devido a condições intra-uterinas desfavoráveis durante a gestação representam o maior obstáculo para a maximização da eficiência reprodutiva em animais de criação (Wu et al., 2006). Como o maior fator que influencia no ambiente intra-uterino, a nutrição materna desempenha um importante papel na regulação do crescimento, desenvolvimento e sobrevivência fetal (Wu et al., 2004). Assim, fornecendo a porca gestante os nutrientes adequados, incluindo quantidades adequadas de aminoácidos, é vital para o crescimento fetal (McPheterson et al., 2004). A arg não é somente exigida para a síntese de proteína e detoxificação da amônia, mas também é uma precursora metabólica de muitas moléculas incluindo a prolina, ornitina, poliaminas e ON (Wu & Morris, 1998; Kim et al., 2007). Além disso, a Arg é a maior carreadora de nitrogênio para os fetos suínos e é um dos aminoácidos mais abundantes nos tecidos fetais (Wu et al., 1999) e no fluido alantóide durante o início da gestação (Wu et al., 1996), demonstrando a sua importância na sobrevivência, crescimento e desenvolvimento fetal de leitões.
Mateo et al. (2007), realizaram um estudo para verificar a hipótese de que aumentando o fornecimento de L-arginina aumentaria o desempenho reprodutivo de marrãs prenhas entre o 30º e 114º dias de gestação. Seus resultados indicaram que a suplementação com 1,0% de arginina-HCL entre os dias 30 e 114 de gestação, aumentaram a concentração de arginina, ornitina e prolina no plasma em 77, 53 e 30%, respectivamente. O tratamento com arginina não afetou o peso corporal e a espessura de toucinho nas marrãs, mas aumentou o número de suínos nascidos em 22% e o peso total da leitegada ao nascimento dos leitões nascidos vivos em 24% (Tabela 1). A concentração plasmática de arg e seus metabólitos (ornitina e prolina) foram alterados com o tratamento entre o 70º e 110º dias de gestação, o qual coincide com o período de rápido crescimento fetal (McPheterson et al., 2004). A suplementação com arg reduziu o número de natimortos em 65% (Tabela 1) provavelmente devido a uma melhora no ambiente uterino para o crescimento e desenvolvimento fetal (Wu et al., 2006).
Tabela 08.Desempenho reprodutivo de marrãs alimentadas com dietas com ou sem suplementação de 1% L-arginina HCL
Semelhantemente, outros pesquisadores relataram que suplementando 1% de arginina na dieta de fêmeas suínas entre os dias 14 e 28 de gestação aumentou o número de leitões nascido em um leitão sem afetar a média de peso ao nascimento (Remaekers et al., 2006). A suplementação durante a gestação de porcas pode ter importantes aplicações para aumentar o desempenho durante a gestação, como também o desenvolvimento pós-natal, a saúde e qualidade de carne da progênie (Wu et al., 2006).
4. NUTRIÇÃO DE PORCAS LACTANTES
Durante a lactação das reprodutoras modernas as exigências nutricionais apresentam-se bem altas já que as fêmeas contemporâneas foram selecionadas para alta prolificidade e alta produção de leite. Aliado à alta exigência nutricional, o consumo de alimentos normalmente é baixo. Assim sendo, as fêmeas muitas vezes entram em balanço energético negativo e as reservas corporais são prontamente mobilizadas, caracterizando o catabolismo lactacional. A correta nutrição das matrizes durante a lactação também tem impacto significativo no desenvolvimento reprodutivo subseqüente das fêmeas. Ao respeitar a utilização de níveis nutricionais e padrões de consumo que possibilitem a ingestão de nutrientes em quantidade satisfatória e a redução dos efeitos do balanço energético negativo dificilmente ocorrerão influências nutricionais relevantes sobre a eficiência reprodutiva desses animais.
Devido a mobilização de proteína corporal para suprir as exigências da síntese de leite, o aumento da massa protéica corporal da matriz ao parto parece proteger contra a falta de ingestão protéica na lactação em porcas lactantes (Clowes et al., 2003b). A perda de mais de 12% de massa protéica pela porca ao parto parece reduzir significativamente a fertilidade destas fêmeas após a desmama.
É importante que os níveis nutricionais e de consumo sejam respeitados dentro dos padrões de cada genética, pois mesmo restrições modestas em estágios críticos do desenvolvimento folicular podem ter implicações duradouras para a função reprodutiva das fêmeas no plantel. Além disso, considerando que primíparas modernas foram selecionadas para alta prolificidade e alta produção de leite e ao mesmo tempo apresentam capacidade limitada de consumo durante a lactação, as exigências nutricionais desses animais apresentam-se bem altas e por isso devem ser estabelecidos programas nutricionais distintos das matrizes.
Na tabela 09, são apresentadas especificações nutricionais na fase de lactação para primíparas e matrizes.
Recomendações nutricionais de marrãs e porcas durante a lactação
4.1. Exigência de energia total durante a lactação
A exigência de energia metabolizável total durante a lactação (EMlact) corresponde ao somatório da exigência energética de mantença e a exigência para a produção de leite. Segundo Noblet et al. (1998), a exigência total de energia de uma porca durante a lactação pode ser representada pelas seguintes equações:
EMlact (MJ/dia) = 0,460 x peso metabólico da matriz (PC0,75) + Eleite/0,72, a Eleitedurante toda a lactação pode ser estimada pela equação 3 da tabela 3.
EMlact (MJ/dia) = 0,460 x peso metabólico da matriz (PC0,75) + (28,6 x ganho de peso diário da leitegada (kg) - 0,52 x tamanho da leitegada)/0,72
Ilustrações da aplicação da equação sugerida por Noblet et al. (1998) são visualizadas na tabela 10 para fêmeas que desmamam 10, 11 e 12 leitões (fêmeas melhoradas de alta prolificidade e alta produção de leite).Exigência diária de energia metabolizável de porcas em lactação com 200 kg de peso em função do ganho de peso da leitegada
Tabela 10. Exigência diária de energia metabolizável de porcas em lactação com 200 kg de peso em função do ganho de peso da leitegada
Os dados da tabela indicam que as exigências energéticas totais de porcas em lactação são muito superiores do que as de porca em gestação e que podem, na maioria das condições comerciais de criação, não serem atendidas pelo consumo alimentar da porca. Além disso, observa-se que as necessidades energéticas para matrizes que desmamam 12 leitões são aproximadamente 12% superiores em relação a matrizes que desmamam 10 leitões, ou seja, para se produzir dois leitões a mais a matriz precisa consumir cerca de 1 kg de ração (3,4 Mcal) a mais por dia.
4.2. Exigência de proteína e lisina para porcas lactantes
Na tabela 13, são apresentadas estimativas de exigência de lisina para porcas em lactação com 200 kg de peso, para um período de 21 dias de lactação.
Pode-se observar que matrizes que desmamam uma leitegada de 12 leitões (ganho de peso médio da leitegada de 2,8kg) exigem aproximadamente 10 g de lisina/dia a mais que uma reprodutora que desmama 10 leitões. Acima de 10 leitões, cada leitão a mais representa uma produção de leite diária de aproximadamente 800 gramas e uma exigência de lisina de 5 gramas/dia para essa finalidade.
1 - 10, 11 e 12 leitões para 2,4, 2,6 e 2,8 kg/dia, respectivamente.
2 - Consumo estimado de ração por dia
3 - Segundo Close (2001):
Exigência de lisina para mantença:
0,036 g x peso corporal(kg) 0,75
Exigência de lisina para produção de leite:
Produção de leite (g/dia) = 4 x ganho de peso da leitegada (g/dia)
Produção de proteína no leite (g/dia) = produção de leite x 0,056
Produção de lisina total (g/dia) = produção de proteína no leite (g/dia) x 0,076
Eficiência de utilização de lisina para produção de leite = 80%
Digestibilidade da lisina = 90%
Quando as porcas não recebem quantidades adequadas de aminoácidos dietéticos, tecidos protéicos maternos são mobilizados (especialmente proteínas do músculo esquelético). Mobilização excessiva de tecidos protéicos maternos, muitas vezes, resulta em prejuízos reprodutivos nos partos subseqüentes (Jones & Stahly, 1995). Portanto, estabelecer a exigência nutricional de porcas em lactação não está apenas restrito à maximização da produção de leite, mas estende também para a manutenção da condição corporal da porca para os partos subseqüentes (NRC, 1998; Kim & Easter, 2003). A mobilização protéica ocorre em vários tecidos da porca com diferentes taxas (Escobar, 1998; Kim & Easter, 2001). O músculo é o maior doador de aminoácidos durante a privação alimentar ou inadequado fornecimento de proteína dietética, considerando que o trato reprodutivo contribui com a maior porção do seu próprio aminoácido (Kim & Easter, 2001).
4.3. Efeitos da suplementação da Arginina durante a lactação
A Arginina (Arg) é um aminoácido essencial para os leitões (Southern and Baker, 1993; Roth et al., 1995; Urschel et al., 2006), devido a grande utilização da Arg pelas múltiplas vias metabólicas (Wu & Morris, 1998; Li et al., 2007). Porém, o consumo de Arg através do leite da porca é baixo em relação à exigência de proteína dos leitões (Davis et al., 1994; Wu & Knabe 1994; Kim et al., 2007). Estimativas baseadas na suplementação de Arg pelo leite da porca e na exigência de Arg dos leitões revelaram que o leite da porca fornece menos que 40% da exigência diária de leitões lactentes com 7 dias de idade (Wu et al., 2004).
Kim et al. (2004), relataram que a suplementação com 0,2 e 0,4% de L-arginina para leitões lactantes de 7 a 21 dias de idade alimentados num sistema líquido de alimentação, aumentou a concentração plasmática de Arg (30 e 61%, respectivamente), reduziu os níveis plasmático de amônia (20 e 35%, respectivamente) e aumentou o ganho de peso dos leitões (28 e 66%). Assim, tanto dados metabólicos quanto de crescimento indicam que a deficiência de Arg é o maior fator limitante do máximo ganho de peso em leitões lactantes (Kim & Wu, 2004; Wu et al., 2004; Frank et al., 2007).
O aumento da ingestão de Arg pelo leite pode ser uma maneira efetiva de aumentar o crescimento dos leitões. Além de o consumo alimentar da porca e da intensidade de mamada dos leitões, a produção de leite também é influenciada pela angiogênese do tecido mamário e pelo fluxo sanguíneo para as glândulas mamárias, o qual aumenta o fornecimento de nutrientes para as glândulas mamárias para a produção de leite (Trottier et al., 1997). O fluxo sanguíneo mamário e a angiogênese são regulados pela Arg derivada do óxido nítrico (Meininger & Wu, 2002; Lacasse & Prosser, 2003). Além disso, a produção de leite é altamente correlacionada com o crescimento da glândula mamária (Kim et al.,2000) e a Arg é necessária para otimizar o crescimento da glândula mamária (Pau & Milner, 1982). Em altas dosagens, a Arg estimula a secreção de prolactina e hormônio do crescimento, os quais são necessários para o desenvolvimento mamário (Knopf et al., 1968; Davis, 1972).
Mateo et al. (2008), sugeriram a hipótese de que a suplementação de Arg em dietas de fêmeas de primeiro parto durante a gestação e lactação pode estimular o ganho de peso dos leitões lactantes, possivelmente pelo aumento da utilização de nutrientes e, conseqüentemente, aumentando a produção de leite e modificando a composição nutricional do leite. Nesse estudo, Mateo et al. (2008) demonstraram que a suplementação de Arg na dieta das porcas durante toda a lactação aumentou a concentração total de aminoácidos no leite e melhorou o desempenho de crescimento dos leitões. Essas descobertas forneceram uma nova estratégia de manejo nutricional de porcas recém paridas.
Sabe-se que o ganho de peso da leitegada é correlacionado com a produção de leite ou concentração de nutrientes do leite (Kim et al., 1993). O aumento do ganho de peso do leitão o da leitegada em dietas de porcas suplementadas com Arg pode ser um indicativo de aumento da produção de leite ou aumento da concentração de nutrientes no leite. Resultados do estudo de Mateo et al. (2008) indicam que o consumo voluntário e mudanças no peso vivo das porcas não foram afetados pela dieta suplementada com Arg (tabela 2), sugerindo que aumentos na concentração total de aminoácidos (AA) no leite não foram devidos a alterações no consumo alimentar protéico ou mobilização de proteínas corporal. Baseado na redução dos níveis de uréia no plasma, a suplementação com Arg parece aumentar a eficiência de utilização protéica para a síntese de proteínas do leite. Pelo aumento da síntese de ON (o maior vasodilatador) das células endoteliais dos vasos sanguíneos (Wu & Meininger, 2000), a suplementação dietética de Arg pode aumentar o fluxo sanguíneo e o fornecimento de nutrientes para as glândulas mamárias para a produção de proteínas do leite, resultando em aumento do ganho de peso dos leitões lactentes. O aumento da concentração total de AA no leite foi associado com o aumento do ganho de peso dos leitões durante a primeira semana de lactação, a qual afeta todo o desenvolvimento dos leitões durante toda a lactação. Em média, leitões de porcas suplementadas com Arg ganham 20 g de peso vivo a mais por dia, ou 420 g a mais durante os 21 dias de lactação, comparados com leitões de porcas sem suplementação (tabela 14).
Mateo et al. (2008) concluíram que a suplementação dietética de Arg em porcas lactantes aumenta o desempenho dos leitões lactentes. O aumento de ganho de peso da leitegada foi associado com o aumento na concentração total de AA no leite no 7º dia de lactação. Os pesquisadores sugerem que o tratamento com Arg pode aumentar o fluxo sanguíneo mamário e a mobilização de AA durante a lactação. Porém, mais estudos ainda são necessários para testar essa nova hipótese.
4.4. Exigência de outros aminoácidos para porcas lactantes
Os estudos para estimar a exigência de valina para matrizes lactantes apresentam resultados contraditórios. Segundo Kim (2005), para porcas com baixo consumo voluntário de alimento e uma mobilização tecidual substancial durante a lactação (i.e., porcas primíparas e de segundo parto), a treonina é um aminoácido crítico, enquanto a valina se torna crescentemente importante em porcas que têm um alto consumo alimentar e uma limitada mobilização tecidual (i.e., porcas multíparas) durante a lactação (Kim et al., 2001). O NRC (1998) propôs uma relação mínima de valina:lisina (V:L) de 0,85:1 para matrizes de alta produção de leite. Esta relação foi maior que a proposta previamente pelo ARC (1981) e por Pettigrew (1993), mas é menor que a proposta pela edição anterior do NRC (1988). Richert et al. (1996, 1997a,b) estimaram que a exigência de valina para porcas amamentando ≥ 10 leitões foi maior que a estimada por Pettigrew (1993) e pelo NRC (1988). Já Carter et al. (2000) e Gaines et al. (2006) relataram que a exigência de valina para porcas prolíficas em lactação não excede os valores estimados pelo NRC (1998).
A glutamina aparece em grandes quantidades no leite de matrizes suínas, culminando com uma redução pronunciada de glutamina na musculatura esquelética de matrizes lactantes. Wu (2005) concluiu que uma suplementação durante a lactação poderia prevenir a perda de massa muscular de matrizes suínas gestantes. Complementando esta afirmação, Lobley et al. (2001) acrescentaram que a glutamina pode limitar a produção de proteína no leite, particularmente durante o período inicial da lactação, quando as concentrações de glutamato e glutamina diminuíram em torno de 25%. Neste mesmo período, também ocorreu uma diminuição em torno de 25% de glutamina no músculo das matrizes suínas.
Até o presente momento, o único estudo conhecido na espécie suína, durante as fases de gestação e lactação, foi conduzido por Kitt et al. (2004), no qual estudaram o efeito da suplementação com 2,5% de glutamina (Gln), na dieta da matriz suína, em substituição ao farelo de soja. Como resultados encontraram 17% e 36% a mais nas concentrações plasmáticas de glutamina no 7º e no 21º dia de lactação, respectivamente, quando comparadas com as matrizes suínas mantidas com dieta controle. Os autores acrescentaram ainda que as matrizes suínas suplementadas com 2,5% de Gln no 7º e 21º dias de lactação obtiveram 46% e 265% a mais nas concentrações de glutamina no leite, respectivamente, quando comparadas com àquelas do grupo controle.
Manso (2006) avaliou as concentrações sanguíneas, musculares e lácteas de glutamina em matrizes suínas primíparas submetidas a uma suplementação com glutamina. Foram utilizadas 45 matrizes suínas primíparas distribuídas em 3 tratamentos: T1 (controle), T2 (2,5% L-glutamina) e T3 (2,5% AminoGut®). As matrizes iniciaram a suplementação 30 dias antes do parto continuando até o desmame. Não houve diferença estatística para a concentração de glutamina no músculo e no sangue dos grupos experimentais para os períodos estudados (P>0,05). Com relação à concentração de glutamina no leite, no 7o dia de lactação as leitoas do T2 apresentaram uma maior concentração de glutamina enquanto que aos 21 dias de lactação as matrizes suínas primíparas do grupo T3 apresentaram uma maior concentração de glutamina no leite (P<0,01). Outros estudos deverão ser feitos para se avaliar diferentes níveis de suplementação de glutamina associados a diferentes tamanhos de leitegadas para avaliar o subseqüente desempenho reprodutivo das matrizes e o desempenho dos leitões após o desmame.
5. EXIGÊNCIA DE MINERAIS PARA PORCAS COM O OBJETIVO DE DESMAMAR 30 LEITÕES/PORCA/ANO
Com a introdução de novas linhagens maternas capazes de produzir leitegadas de tamanhos maiores, maior peso ao nascimento e porcas com maior produção de leite, resultando em mais leitões desmamados e maiores pesos ao desmame, a demanda nutricional desses animais tornou-se excessivamente alta. As recomendações minerais do NRC (1998) para suínos não mudaram substancialmente nos 25 anos passados (1973 a 1998), com exceção ao Se, embora a produtividade da porca tenha aumentado tremendamente neste mesmo período. Evidentemente, as porcas não podem encontrar suas necessidades biológicas para nutrientes, particularmente os minerais, utilizando-se recomendações das décadas passadas.
Para ajustar antecipadamente a maior necessidade biológica para minerais pela alta produção das linhagens maternas, a indústria de ração e os especialistas das universidades recomendam rotineiramente níveis dietéticos mais elevados, reforçando os níveis dos macro e micro minerais, bem como de outros nutrientes, nas dietas de gestação e lactação. Embora esta prática seja lógica e possa ser exatamente o que essas porcas necessitam para altas produtividades, geralmente não é baseada em pesquisas, mas em observações do campo, ou seja, de forma empírica.
Cálcio e fósforo são os dois principais minerais geralmente associados com a integridade e estrutura dos pés. As pesquisas de Nimmo et al. (1981) demonstraram que uma alta porcentagem de leitoas eram incapazes de chegar ao primeiro parto quando alimentadas com dietas contendo os níveis de Ca e P preconizados pelo NRC (1978) durantes os períodos de desenvolvimento e reprodução. Outro trabalho demonstrou que porcas de alta produtividade têm maior ocorrência de desmineralização óssea durante sua vida reprodutiva (Maxson e Mahan, 1986). Estes resultados combinados sugerem que durante períodos de crescimento e períodos reprodutivos há uma alta demanda por Ca e P. Estes dois minerais podem, assim, ser removidos do tecido ósseo quando as demandas para produção de leite são grandes.
Mahan (2006) publicou os dados sobre a avaliação da deposição fetal de minerais, dos 45 dias após a cobertura ao terço final de gestação. Os dados desse trabalho serão descritos a seguir.
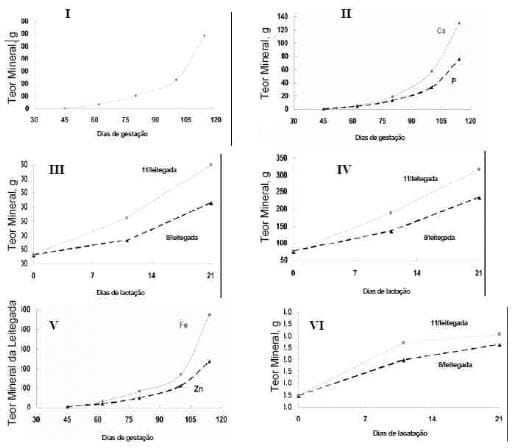
O autor observou que o índice total de minerais do corpo de leitegadas em desenvolvimento aproximadamente dobrou a cada 15 a 20 dias de gestação, mas mais de 50% do índice total de minerais em leitegadas em desenvolvimento ocorreu nas últimas 2 semanas de gestação. (Figura 1 - I). Embora este gráfico reflita o teor de mineral total da leitegada, quando os minerais individuais foram identificados para o mesmo período, Ca e P praticamente dobraram nas últimas duas semanas de gestação (Figura 1 - II). Assim, compreende-se porque a porca se submete à desmineralização óssea durante este período crítico da gestação e quais respostas poderiam ser exacerbadas em porcas com grandes leitegadas e maior capacidade de produção de leite.
Ao parto, a concentração de Ca no colostro da porca é baixa, mas aumenta com o progresso da lactação (Figura 2 - A). O baixo nível de Ca ao parto pode ser explicado pela sua diminuição na porca gestante, pois ela transfere grande quantidade de Ca a seus fetos em desenvolvimento. Isto resultada em um estoque corporal mínimo para depois transferir para o tecido mamário, conseqüentemente, a quantidade no colostro é diminuída. Durante o período pós-parto ou lactação, quando aumenta a ingestão de alimento, as demandas para desenvolvimento fetal são eliminadas, agora a secreção de leite tem a demanda primária para Ca, aumentando, assim, a quantidade de Ca no leite maduro (Figura 2 - A). Entretanto, o aumento da desmineralização óssea parece ser um efeito do tamanho da leitegada ou resultante da quantidade de Ca na composição do leite. Quando porcas nutriram 8 contra 11 leitões por leitegada a quantidade de Ca no leite das porcas nutrindo leitegadas maiores foi menor (p<0,05). A mesma tendência foi verdadeira para o P do leite, onde porcas nutrindo leitegadas maiores e que produzem mais leite têm baixo conteúdo de P (Figura 2 - B).
Em conseqüência dos resultados acima a deposição total de Ca e P nos leitões desmamados (11 ou 21 dias) foi maior nas leitegadas maiores (Figura 1 - III e IV). Quando expressado em uma base individual não houve nenhuma diferença no teor de Ca e P nestes leitões, sugerindo que a progênie tem aproximadamente os mesmos teor minerais.
Os dados apresentados nas figuras 1- I e 2- A implicam que a maior resposta ao aumento da retenção mineral no desenvolvimento da leitegada foi atribuída ao Ca e P. Os dados demonstraram que todos os minerais essenciais seguiram o mesmo padrão geral da retenção como o Ca e o P, mas eles demonstraram também algumas diferenças. Esta diferença é atribuída às diferentes funções biológicas de cada elemento como quando este é necessário em um estágio específico de desenvolvimento do feto ou no terço final da gestação, onde o feto retém minerais para sua vida pós-natal subseqüente.
Dois dos elementos residuais críticos (Fe e Zn) serão apresentados na Figura 1 - V. Embora a quantidade de Zn não dobrasse durante as últimas 2 semanas do desenvolvimento fetal, como fez Ca e P, a quantidade de Fe aumentou extremamente durante este último período de gestação. Entretanto, embora seja mostrado um grande aumento no teor total do Fe durante o terço final de gestação, este ainda permanece abaixo daquele necessário para o recém nascido. Conseqüentemente, uma fonte exógena é necessária para impedir a anemia no neonato, uma vez que a quantidade de Fe secretada no tecido mamário é considerada inadequada às demandas elevadas de Fe do suíno em rápido crescimento. O colostro da porca e a composição do Fe no leite são apresentados na Figura 2 - C.
O conteúdo de Fe no colostro e mais tarde no leite declina com o progresso da lactação, e este seu teor durante lactação parece ser influenciado pelo número de leitões lactentes. Os leitões de leitegadas maiores recebem um leite com teor de Fe mais baixos do que aqueles animais nutridos pelas porcas em leitegadas menores. O teor total de Fe em leitegada de 8 ou 11 leitões, quando desmamados aos 11 ou 21 dias da idade, mostrou que aquelas leitegadas maiores tiveram maiores conteúdos de Fe total (Figura 1 - IV). .
O teor do Zn da leitegada durante o desenvolvimento da gestação apresentado na figura 1-V demonstra que o conteúdo do Zn na leitegada aumentou extremamente durante o período da gestação com o maior aumento ocorrendo durante as últimas 2 semanas de gestação. O colostro teve concentração de Zn mais elevada quando comparado ao leite (Figura 2- D), com a concentração do Zn declinando no leite mais tardio e aparentemente há pouco efeito do tamanho da leitegada na concentração de Zn no leite durante a lactação. O conteúdo total do Zn na leitegada aumentou á medida que o leitão alcançou a idade de desmame, sendo que as leitegadas maiores tiveram teores totais Zn mais elevados (Figura 1 - VII).
5.1. Fontes minerais orgânicas x inorgânicas
Os minerais executam diversos papéis no corpo e são essenciais para diversas funções reprodutivas. Não somente estão envolvidos no controle da enzima de vários processos metabólicos e hormonais, mas são igualmente importantes nos processos de crescimento, saúde e controle imunológico. Quando providos em excesso são retidos no fígado, mas tem sido mostrado que eles podem ser pró-oxidantes e assim podem ser prejudiciais às funções corporais. Conseqüentemente, a forma em que o elemento é fornecido ao animal pode tornar-se mais importante no futuro com o aumento das necessidades dietéticas. Por exemplo, o fornecimento de Se orgânico ou inorgânico, desde que respeitando a exigência do suíno, realçará o controle anti-oxidantes e do sistema imune. Entretanto, quando uma ou outra forma é fornecida em algum excesso, observa-se que muito do Se orgânico é retido no tecido visto que foi mostrado que o Se inorgânico adicional pode causar lesões oxidativas no tecido, sendo assim, prejudicial ao desempenho animal. Com o aumento das necessidades minerais das
porcas, há simultaneamente um interesse em aumentar níveis minerais nas dietas durante a gestação e a lactação. Um recente estudo avaliou os níveis minerais das porcas quando alimentadas com minerais inorgânicos (forma de sulfato ou de óxido) ou orgânicos. O experimento incluiu níveis do NRC (1998) e um alto nível tipicamente fornecido pela indústria. O experimento envolveu um total de 375 leitegadas e os resultados são apresentados na Figura 3 (Peters, 2006).
Embora não significativo, o número total de leitões nascidos vivos foi, aproximadamente, de um leitão adicional por leitegada quando porcas foram alimentadas com minerais orgânicos. Como evidente na figura 3 não houve nenhuma diferença no número de leitões nascidos vivos quando os níveis do NRC (1998) foram fornecidos. Embora esta experiência precise ser confirmada em outros animais, os resultados sugerem que os minerais orgânicos possam ser superiores aos minerais inorgânicos, e que o reforço extra dos minerais na forma orgânica pode ser benéfico ao desempenho reprodutivo da porca.
5.2. Status mineral da porca
As porcas durante sua vida reprodutiva têm maior necessidade de minerais, tendo uma perda maior de minerais do corpo durante a gestação e lactação (Mahan e Newton, 1995). Aumentos de produtividade da porca são acompanhados pelo aumento da demanda nutricional e, assim, reservatórios de minerais do seu corpo poderiam diminuir. Quando os teores minerais das porcas completando 3 partos foram comparados a leitoas que não reproduziram de mesma idade, os resultados mostraram que a maioria dos minerais era mais baixa nas porcas que tinham se reproduzido (Figura 4).
O Ca e P tiveram a maior perda, aproximadamente, com teores totais de 15 a 20% menores destes dois minerais. Dos minerais restantes Mg, Cu, Se e Zn igualmente tiveram teores mais baixos nas porcas em reprodução.
Embora as exigências minerais sejam mal definidas para animais de reprodução (Hostetler e et al., 2003) é necessário continuar pesquisando para determinar estas necessidades. Porcas de alta produtividade possuem maiores necessidades de minerais do que porcas de baixa produtividade. Os resultados apresentados implicam que há talvez "uma relação ideal" e uma "janela crítica da necessidade" para os minerais para a reprodução. Esta "relação ideal dos minerais" e suas necessidades biológicas em períodos de tempo específicos durante a gestação podem igualmente ser diferenciadas pelo estágio da reprodução. Animais de alta produtividade têm exigência nutricional mais elevada para estes minerais, sendo assim, esgotam as suas reservas corporais.
Embora nós sejamos acostumados a aumentar os minerais dietéticos em proporção às necessidades estimadas, esta prática pode ser um erro por causa das "janelas de diferença da necessidade" e dos potenciais efeitos prejudiciais de níveis adicionais. As necessidades minerais talvez sejam reguladas geneticamente e pelo tamanho da leitegada, visto que as secreções mamárias da lactação não podem somente refletir o padrão genético de secreção do leite, mas podem igualmente refletir um caminho onde o excesso de minerais pode ser excretado pelo corpo.
As exigências dos minerais podem ser influenciadas pela forma do mineral fornecido, sendo igualmente possível que minerais dietéticos mais elevados podem ser desejáveis em alguns estágios da reprodução e prejudiciais em outros estágios. O papel dos minerais orgânicos nesta área é até agora desconhecido, mas resultados indicam que podem ter uma influência positiva no desempenho reprodutivo da porca, visto que minerais inorgânicos podem ser prejudiciais quando fornecidos a níveis "normais" mais elevados, particularmente quando fornecidos continuamente. A determinação das necessidades minerais da porca de reprodução está certamente incipiente quando comparada a de outros nutrientes. Uma pesquisa mais extensiva precisa ser conduzida, visto que a exigência dos animais parece ser aumentada com a capacidade genética dos animais.
FIGURA 1Teor de minerais na leitegada (g): I) Teor mineral total; II) Teor total de Cálcio e Fósforo; III) Teor total de Cálcio; IV) Teor total de Fósforo; V) Teor total de ferro e zinco; VI) Teor total de ferro; VII) Teor total de zinco .
Figura 2. Teor de minerais no colostro e no leite ao nascimento, 11 e 21 dias pós-parto de porcas com dois tamanhos de leitegadas; A) Teor de Cálcio; B) Teor de Fósforo; C) Teor de ferro; D) Teor de zinco.
Figura 3. Efeito de fontes orgânicas e inorgânicas de minerais a dois níveis dietéticos sobre 6 partos.
Figura 4.Perdas ou ganhos minerais após o terceiro parto (comparado ao controle não prenhe)
6. CONSIDERAÇÕES FINAIS
Fêmeas suínas que desmamam em média de 12 leitões e que apresentam 2,5 partos/ano irão desmamar 30/animais/ano. Obviamente, essas reprodutoras modernas além de alta fertilidade terão o desafio de criar bem os leitões, ou seja, boa habilidade materna. Para alcançar e manter esse novo desafio um programa nutricional de precisão se faz necessário, em todas as fases da vida. Nesse sentido, a compreensão das exigências dos animais nas diferentes fases de crescimento, na reposição, no flushing, na gestação (principalmente no terço final) e na lactação se faz necessário.
Nos últimos anos muitas informações têm dado sustentabilidade aos nutricionistas para o desenvolvimento dos programas nutricionais de matrizes hiperprolíferas, porém novos desafios estão sendo diariamente lançados, e pesquisas são necessárias para adequação permanente dessas estratégias nutricionais.
7. REFERÊNCIAS BIBLIOGRÁFICAS
ABREU, M.L.T.; DONZELE, J.L.; OLIVEIRA, R.F.M. Exigências nutricionais de matrizes suínas gestantes e lactantes. In: IV Seminário Internacional de Av4es e Suínos - Avesui, p.33-59, 2005.
ADASHI, E.Y. et al. Insulin enhancement of luteinizing hormone and follicle-stimulating hormone release by cultured pituitary cells. Endocrinology, v.108, p.1441-1449, 1981.
AHERNE, F.X., WILLIAMS, I.H. Nutrition for optimizing breeding herd performance. Veterinary Clinical North American Food Animal Practice 8:589-608, 1992.
ALMEIDA, F.R.C.L. Interações entre nutrição e reprodução em suínos. Cadernos Técnicos da Escola de Veterinária da UFMG, n.26, p.45-87, 1999.
ASHWORTH, C.J. et al. Effects of pre- and post-mating nutritional status on hepatic function, progesterone concentration, uterine protein secretion and embryo survival in Meishan pigs. Reprod. Fertil. Dev., v.11, n.1, p.67-73, 1999.
ARC. Agricultural Technical Review. In The Nutrient Requirements of Pigs: Rev. ed. Commonw. Agric. Bureau, Slough, England, p. 164, 1981.
BELTRANENA, E. et al. Effects of pre- and postpubertal feeding on production traits at first and second estrus in gilts. J. Anim. Sci., v. 69, p.886-893, 1991.
BORTOLOZZO, P.; WENTZ, I. A fêmea suína de reposição. Porto Alegre: Pallotti, 2006.
BRONSON, F.H. Mammalian reproductive biology. Chicago: University of Chicago, 1989.
BRITT, J.H.; ARMSTRONG, J.D.; COX, N.M. Metabolic interfaces between nutrition and reproduction in pigs. In: INTERNATIONAL CONGRESS ON ANIMAL REPRODUCTION AND ARTIFICIAL INSEMINATION, 11. Proceedings... Dublin, v.5, p.117-125, 1988.
BRUSTOLINI, P.C. et al. Efeitos de diferentes fontes lipídicas e níveis de energia sobre o desempenho reprodutivo de marrãs. Arq. Bras. Med. Vet. Zootec. v. 56 (4), 2004.
BIRD, I.M.; ZHANG, L.B.; MAGNESS, R.R. Possible mechanisms underlying pregnancy-induced changes in uterine artery endothelial function, Am. J. Physiol., v. 284, pp. R245-R258, 2003.
CAMERON, J.L. Nutritional determinants of puberty. Nut. Rev., v. 54, p. S17-S22,
1996.
CARTER, S.D.; HILL, G.M.; MAHAN, D.C.; NELSSEN, J.L.; RICHERT, B.T.; SHURSON, G.C. Effects of dietary valine concentration on lactational performance of sows nursing large litters. J. Anim. Sci., v. 78, p.2879-2884, 2000.
CLOSE, W.H.; COLE, D.J.A. The pre-breeding gilt. In: Nutritional of Sows and Boars. Nottingham University Press, cap. 12, p. 293-331, 2000.
CLOSE, W.H.; COLE, D.J.A. Nutrition of sows and boars. 1rst. Ed.Nottinghan: Nottinghan University Press, 377p., 2001.
CLOWES, E.J.; AHERNE, F.X.; FOXCROFT, G.R.; BARACOS, V.E. Selective protein loss in lactating sows is associated with reduced litter growth and ovarian function. J. Anim. Sci., v.81, p. 753-764, 2003b.
COSGROVE. J.R. et al. Gonadotrophic-independent mechanisms participate in ovarian responses to realimentation in feed-restricted prepubertal gilts. Biol. Reprod., v. 47, p. 739, 1992.
COX, N.M. et al. Enhancement of ovulation rate in gilts by increasing dietary energy and administering insulin during follicular growth. J. Anim. Sci., v. 64, p.507-516, 1987.
DAVIS, S.L. Plasma levels of prolactin, growth hormone and insulin in sheep following the infusion of arginine, leucine and phenylalanine. Endocrinology, v. 91, p.549-555, 1972.
DAVIS, T.A.; NGUYEN, H.V.; GARCIAA-BRAVO, R.; FIOROTTO, M.L.; JACKSON, E.M.; LEWIS, D.S.; LEE, D.R.; REEDS, P.J. Amino acid composition of human milk is not unique, J. Nutr., v. 124, pp. 1126-1132, 1994.
DRITZ, S. Replacement gilt nutrition. In: AMERICAN ASSOCIATION OF SWINE VETERINARIANS 37th ANNUAL MEETING 2006. Proceedings... p29-35, 2006.
DWYER, C.M., STICKLAND, N.C. & FLETCHER, The influence of maternal nutrition on muscle fibre number development in the porcine foetus and on subsequent postnatal growth. J. Anim. Sci. 72: 911-917, 1994.
ESCOBAR, J. Modeling changes in the body composition of primiparous lactating sows as affected by four dietary regimens. M.S. thesis. University of Illinois, Urbana, 1998.
FERGUSON, E. M. et al. Effect of different nutritional regimens before ovulation on plasma concentrations of metabolic and reproductive hormones and oocyte maturation in gilts. Reproduction, v. 126, p.61-71, 2003
FOXCROFT, G.R. Interactions between body composition, metabolic state and reproduction in swine. In: WESTERN NUTRITION CONFERENCE, 11. Proceedings... 1990.
FOXCROFT, G.R. Female reproduction. In: FOXCROFT, G.R. (Ed). Reproduction in domesticated animals. Netherlands: Elsevier Science, p. 129-145, 1993.
FOXCROFT, G.R.;COSGROVE, J.R.; AHERNE, F.X. Relationship between metabolism and reproduction. In: INTERNATIONAL PIG VETERINARY SCIENCE CONGRESS, 14, 1996, Bologna. Proceedings... Bologna: IPVS, 1996.
FOXCROFT, G.R. Recognizing the characteristics of our new dam lines. Proceedings of Allen D. Leman Swine Conference, University of Minnesota, Saint Paul, Minesota, p.130-38, 2005.
FRANK, J.W.; ESCOBAR, J.; NGUYEN, H.V.; JOBGEN, S.C.; JOBGEN, W.S.; DAVIS, T.A.; WU., G. OralN-carbamylglutamate supplementation increases protein synthesis in skeletal muscle of piglets. J. Nutr., v.137, p.315-319, 2007.
GAINES, A.M.; BOYD, R.D.; JOHNSTON, M.E.; USRY, J.L.; TOUCHETTE, K.J.; ALLEE, G.L. Effects of dietary valine concentration on lactational performance of sows nursing large litters. NCR-42 Committe on Swine Nutrition. J. Anim. Sci., v.78, p.2879-2884, 2000.
HEAD, R.H. & WILLIAMS, I.H. Mammogenesis is influenced by pregnancy nutrition. In: III MANIPULATING PIG PRODUCTION, Batterham, E.S. Ed. Australasian Pig Science
Associatinon, Qttword, p.76, 1994.
HOSTETLER, C.E.,. KINCAID, R.L.; MIRANDO, M.A. The role of essential trace elements in embryonic and fetal development in livestock. Vet. J., v.166, p.125-139. 2003.
HUGHES, P.E. The effects of food level during lactation and early gestation on the reproductive performance of mature sows. Anim. Prod. V. 57, p. 437-445, 1993.
JONES, D.B.; STAHLY, T.S. Impact of amino acid nutrition during lactation on subsequent reproductive function of sows. J. Anim. Sci., v. 73 (Suppl. 1), p.183 (Abstr.), 1995.
JONES, D.B.; STAHLY, T.S. Impact of amino acid nutrition during lactation on body nutrient mobilization and milk nutrient output in primiparous sows. J. Anim. Sci., v. 77, p.1513-1522, 1999.
KEMP. B. et al. Effects of ennergy source in the diet on reproductive hormones and insulin during lactation and subsequent estrus in multiparous sows. J. Anim. Sci., v. 73, p. 3022-3029, 1995.
Kim, S.W.; Wu, G. Amino acid requirements for breeding Sows. In: II Simpósio Internacional sobre exigências nutricionais de aves e suínos - UFV, p.199-218, 2005.
Kim, S. W.; Easter, R.A. Nutrient mobilization from body tissues as influenced by litter size in lactating sows. J. Anim. Sci., v.78, p.2172-2178, 2001.
KIM, S.W., HURLEY, W.L.; HAN, I.K.; EASTER, R.A. Growth of nursing pigs related to the characteristics of nursed mammary glands. J. Anim. Sci., v. 78, p.1313-1318. 2000.
KIM, S. W.; EASTER, R.A. Nutrient mobilization from body tissues as influenced by litter size in lactating sows. J. Anim. Sci., v. 78, p.2172-2178, 2001.
KIM, S. W.; EASTER, R.A. Amino acid utilization for reproduction in sowsIn: Amino Acids in Animal Nutrition. 2nd ed. J. P. F. D Mello, ed. CAB International, Wallingford, U.K., p. 203-333, 2003.
KIM, S.W.; MCPHERSON, R.L.; WU, G. Dietary arginine supplementation enhances the growth of milk-fed young pigs, J. Nutr., v. 134, pp. 625-630, 2004.
KIM, S W.; WU, G. Dietary arginine supplementation enhances the growth of milk fed young pigs. J. Nutr., v.134, p.625-630, 2004.
KIM, S.W.; MATEO, R.D.; YIN, Y.L.; WU, G. Functional amino acids and fatty acids for enhancing production performance of sows and piglets, Asian-Aust. J. Anim. Sci., v. 20, pp. 295-306, 2007.
KING, R.H.; TONER, M.S.; DOVE, H.; ATWOOD, C.S.; BROWN. W.G. The response of first-litter sows to dietary protein level during lactation. J Anim Sci., v. 71, p. 2457-2463, 1993.
KIRKWOOD, R. N.; LYTHGOE, E.S.; AHERNE, F.X. Effect of lactation feed intake and gonadotrophin-releasing hormone on the reproductive performance of sows. Can. J. Anim. Sci., v. 67, p.715-719, 1987.
KITT, S.J.; MILLER, P.S.; FISCHER, R.L. Effects of sow dietary glutamine supplementation on sow and litter performance, subsequent weanling pig performance and intestinal development after an immune challenge. Nebraska Swine Report, p.14-17, 2004.
KNOPF, R.F.; CONN, J.W.; FAJANS, S.S.; FLOYD, J.C.; BUNTSCHE, E.W.; REILL, J.A. Plasma growth hormone response to intravenous administration of amino acids. J. Clin. Endocrinol. Metab., v. 25, p.1140-1144, 1968.
LACASSE, P.; PROSSER, C.G. Mammary blood flow does not limit milk yield in lactating goats. J. Dairy Sci., v.86, p.2094-2097, 2003.
LI, P.; YIN, Y.L.; LI, D.F.; KIM, S.W.; WU, G. Amino acids and immune function, Br. J. Nutr., v.98, pp. 237-252, 2007MAHAN, D.C., FETTER, A.W. Dietary calcium and phosphorus levels for reproducing sows. J. Anim. Sci., v. 34, p.283,1982.
LOBLEY, G.E.; HOSKIN, S.O.; McNEIL, C.J. Glutamine in Animal Science and Production. Journal of Animal Science, v.131, p.525S-2531S, 2001.
MACHADO, G.S. Efeitos de diferentes fontes de energia sobre a eficiência reprodutiva de marrãs cíclicas. 2005. 151 p. Tese (Doutorado em Ciência Animal) - Escola de Veterinária, Universidade Federal de Minas Gerais, Belo Horizonte.
MAHAN, D. The Changing Mineral Status of High Producing Sows - What are their needs and when are the critical periods? In: Swine Nutrition Conference Proceeding. Indianápolis, Indiana, p. 17-27, 2006.
MANSO,H.C.C.C. Avaliação da glutamina sintetase e da concentração a glutamina no terço final da gestação e na lactação de camundongos fêmeas e matrizes suínas primíparas. Tese de doutorado - Universidade Federal Rural de Pernambuco, 2006.
MATAMOROS, I.A. et al. Effects of exogenous insulin and body condition on metabolic hormones and gonadotropin-induced follicular development in prepurtal gilts. J. Anim. Sci., v.69, p.2081-2091, 1991.
MATEO, R.D.; WU, G.; BAZER, F.W.; PARK, J.C.; SHINZATO, I.; KIM, S.W. Dietary l-arginine supplementation enhances the reproductive performance of gilts, J. Nutr., v. 137, p. 652-656, 2007.
MATEO, R.D.; WU, G.; MOON, H.K.; CARROLL, J.A.; KIM, S.W. Effects of dietary arginine supplementation during gestation and lactation on the performance of lactating primiparous sows and nursing piglets. J Anim Sci., v. 86, p.827-835, 2008.
MAXSON, P.F., MAHAN, D.C. Dietary calcium and phosphorus for lactating swine at high and average production levels. J. Anim. Sci., v. 63, p.1163-1172, 1986.
McDONALD, L.E. Veterinary endocrinology and reproduction. 3 ed., Filadélfia: Lea & Febiger, p. 560, 1980.
MCPHERSON, R.L.; JI, F.; WU, G.; KIM, S.W. Fetal growth and compositional changes of fetal tissues in the pigs, J. Anim. Sci., v. 82, pp. 2534-2540, 2004.
MEININGER, C.J.; WU, G. Regulation of endothelial cell proliferation by nitric oxide. Methods Enzymol., v. 352, p.280-295, 2002.
MURGAS, L.D.S. Efeito do consumo de energia na fase pré-puberal sobre os desempenhos produtivo e reprodutivo de marrãs. 1994. 65p. Dissertação (Mestrado) - Universidade Federal de Viçosa, Viçosa.
NEWSHOLME, P.; BRENNNAN, L.; RUBI, B.; MAECHLER, P.New insights into amino acid metabolism, beta-cell function and diabetes, Clin. Sci., v. 108, p. 185-194, 2005.
NIMMO. R.D., PEO, E. R.; JR., MOSER, B D.; LEWIS, A. J. Effect of level of dietary calcium - phosphorus during growth and gestation on performance, blood and bone parameters of swine. J. Anim. Sci., v. 52, p.1330, 1981.
NOBLET, J.; CLOSE, W.H.; HEAVENS, R.P.; BROWN, D. Studies on the energy metabolism of the pregnant sow. 1. Uterus and mammary tissue development. Br. J. Nutr. , v. 53, p.251-265, 1985.
NOBLET, J.; DOURMAD, J.Y.; ETIENNE, M. Energy utilization in pregnant and lactating sows: modeling of energy requirements. J Anim Sci., v.68, p.562-572, 1990.
NOBLET, J. & ETIENNE, M. Energetic efficiency of milk production. In: VERSTEGEN, M.W.A.; MOUGHAN,P,J. & SCHRAMA, J.W. The Lactating Sow. Wagening Pers, Netherlands, p.113-130, 1998.
NRC. Nutrient Requirements of Domestic Animals. Nutrient Requirements of Swine.8th Revised Ed. National Academy of Sciences, 1979.
NRC. Nutrient Requirements of Swine. 9th ed. National Academy Press, Washington, DC, 1988.
NRC. Nutrient Requirements of Domestic Animals. Nutrient Requirements of Swine.10th Revised Ed. National Academy of Sciences, 1998.
PAU, M. Y.; MILNER, J.A. Effect of arginine deficiency on mammarygland development in the rat. J. Nutr., v. 112, p.1827-1833, 1982.
PETERS, J. C. Evaluating the efficacy of dietary organic and inorganic trace minerals in reproducing female pigs on reproductive performance and body mineral composition. PhD thesis, 2006.
PIC USA, Nutrition Technical Update. PIC USA Nutrient Specifications, 2003.
PORETSKY, L., KALIN, M.F. The gonadotropic function of insulin. Endocrine reviews, v.8, p. 132-141, 1987
RAMAEKERS, P.; KEMP, B.; VAN DER LENDE, T.Progenos in sows increases number of piglets born, J. Anim. Sci., v. 84 (Suppl. 1), p. 394., 2006.
REVELL, D.K.; WILLIAMS, I.H.; MULLAN, B.P.; RANDFORD, J.L.; SMITS, R.J. Body composition at farrowing and nutrition during lactation affect the performance of primiparous sows: I. Voluntary feed intake, weight loss, and plasma metabolites J. Anim. Sci., v.76, p.1729- 1737, 1998.
REYNOLDS, L.P.; REDMER, D.A Angiogenesis in the placenta, Biol. Reprod., v. 64, pp. 1033-1040, 2001.
RHODES, M.T. et al. Flushing and altrenogest affect litter traits in gilts. J. Anim. Sci., v.69, p.34-40, 1991.
Richert, B.T., Goodband, R.D.; Tokach, M.D.; Nelssen, J.L. Increasing valine, isoleucine, and total branched-chain amino acids for lactating sows. J. Anim. Sci., v.75, p.2117-2128, 1997a.
Richert, B.T., Tokach, M.D.; Goodband, R.D.; Nelssen, J.L.; Campbell, R.G.; Kershaw, S. The effect of lysine and valine fed during lactation on sow and litter performance. J. Anim. Sci., v.75, p.1853-1860, 1997b.
Richert, B.T.; Tokach, M.D.; Goodband, R.D.; Nelssen, J.L.; Pettigrew, J.E.; Walker, R.D.; Johnston, L.J. Valine requirement of the high-producing lactating sow. J. Anim. Sci., v. 74, p.1307-1313, 1996.
RICHERT, B.T.; TOKACH, M.D.; GOODBAND, R.D.; NELSSEN, J.L.; PETTIGREW, J.E.; WALKER, R.D.; JOHNSTON,L.J. Valine requirement of the high-producing lactating sow. J Anim Sci., v.74, p.1307-1313, 1996.
ROSTAGNO, H.S., ALBINO, L.F.T., DONZELE, J.L. et al. Tabelas brasileiras para aves e suínos. Composição de alimentos e exigências nutricionais. Viçosa: UFV. 141p. 2000.
ROTH, F.X.; FICKLER, J.; KIRCHGESSNER, M. Effect of dietary arginine and glutamic acid supply on the N-balance of piglets. 5. Communication on the importance of nonessential amino acids for protein retention, J. Anim. Physiol. Anim. Nutr., v. 73, p. 202-212, 1995.
SCHWARTZ, M.W. et al. Insulin in the brain: a hormonal regulator of energy balance. Endoc. Rev., v.13, p. 387-414, 1992.
SOBESTIANSKY, J.; BARCELLOS, D.E.S.N.; SESTI, L.A.C. Introdução de animais em um sistema de produção. In: SOBESTIANSKY, J.; WENTZ, IVO; SILVEIRA, P.R.S.; SESTI, L.A. (Eds). Suinocultura itensiva. Comcórdia-SC: Embrapa-CNPSA.1998. cap.19, p. 337-348.
SOUTHERN, L.L.; BAKER, D.H. Arginine requirement of the young pig, J. Anim. Sci., v.57, p. 402-412, 1983.
URSCHEL, K.L.; SHOVELLER, A.K.; UWIERA, R.R.; PENCHARZ, P.B.; BALL, R.O. Citrulline is an effective arginine precursor in enterally fed neonatal piglets, J. Nutr., v.136, p.1806-1813, 2006.
VAN DEN BRAND, H. et al. Effects of postweaning dietary energy source on reproductive traits in primiparous sows. J.Anim. Sci., v. 79, p. 420-426, 2001.
WELDON, W.C., THUILIN, A.J., Mac DOUGALD, O.A., et al.. Effects of increased dietary energy and protein during late gestation on mammary development in gilts. J. Anim. Sci. , 69:194-200, 1991.
WHITEMORE, C. T. Review - Nutrition reproduction interactions in primiparous sows. Livest. Product. Sci., v. 46, p. 65-83, 1996.
WU, G.; KNABE, D.A. Free and protein-bound amino acids in sow's colostrum and milk. J. Nutr., v.124, p.415-424, 1994.
WU, G. Effects of concanavalin A and phorbol myristate acetate on glutamine metabolism and proliferation of porcine intraepithelial lymphocytes, Comp. Biochem. Physiol., v.114A, pp. 363-368, 1996.
WU, G.; MORRIS JR., S.M. Arginine metabolism: nitric oxide and beyond, Biochem. J. 336, pp. 1-17, 1998.
WU, G; OTT, T.L.; KNABE, D.A.; BAZER, F.W. Amino acid composition of the fetal pig, J. Nutr., v.129, p. 1031-1038, 1999.
WU, G.; MEININGER, C.J. Arginine nutrition and cardiovascular function, J. Nutr., v. 130, pp. 2626-2629, 2000.
WU, G.; BAZER, F.W.; CUDD, T.A.; MEININGER, C.J.; SPENCER, T.E. Maternal nutrition and fetal development, J. Nutr., v. 134 , p. 2169-2172, 2004.
WU, G. Nutrição da glutamina em suínos: da pesquisa básica à suinocultura. Disponível em: <www.lisina.com.br>. Acesso em: 26 de dez. 2005.
WU, G.; BAZER, F.W.; WALLACE, J.M.; SPENCER, T.E. Intrauterine growth retardation: implications for the animal sciences, J. Anim. Sci., v. 84, pp. 2316-2337, 2006.